
小麥是小麥系植物的統稱,是一種在世界各地廣泛種植的禾本科植物,也是世界上最早栽培的農作物之一。小麥膚色人類主食之一,其富含淀粉、蛋白質、脂肪、礦物質、維生素等。
小麥胚芽中胚芽油占10%左右,可通過有機溶劑進行萃取得到,再通過一系列精煉工藝得到淡黃色的谷物胚芽油。它的營養成分是非常豐富的,其主要成分是亞麻酸、亞油酸、油酸等一系列的不飽和脂肪酸。其中亞麻酸是人體中一種必需的脂肪酸。從營養學角度看,小麥胚芽油在組成上是非常理想的。
2實驗部分
2.1實驗儀器及試劑
脂肪測定儀(那艾儀器);分析天平;鼓風干燥箱;旋風磨;干燥器;100mL量筒。
實驗用水應符合GB/T6682中三級用水的規格,使用試劑除特殊說明外,均為分析純。
石油醚(60~90℃);濾紙;脫脂棉。
2.2實驗步驟
1.儀器準備:請參照說明書,清洗溶劑杯,干燥并稱重記為m0。
2.取樣:用旋風磨將樣品粉碎,精確稱取干燥樣品約2.0g(記為m),放入濾紙筒內,并覆蓋上一層脫脂棉。
3.萃?。杭尤氤樘崛軇?0mL,打開冷凝水,啟動脂肪測定儀。設置回流時間2.5h、萃取溫度95℃,進行萃取。預干燥15min。
4.計算結果:抽提完成后,烘干溶劑杯至恒重,記為m1。
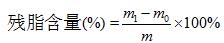
增重法計算殘脂含量:

其中,m1──溶劑杯和殘脂質量,g;
m0──溶劑杯質量,g;
m ──試樣質量,g;
計算得出實驗結果。
3注意事項
注意石油醚的揮發及易燃性,萃取過程中應及時注意通風。